-
더샵 탕정 인피니티시티 3차 분양가가 드디어 공개되었습니다. 이미 더샵 탕정 인피니티시티 1차, 2차가 프리미엄 1억 원 이상으로 거래되면서 많은 관심을 받았던 단지입니다. 꼭 확인해보시고 좋은 결과 얻어가시기 바랍니다!

더샵 탕정 인피니티시티 3차 아파트 소개
- 더샵 탕정 인피니티시티 3차 아파트는 아산탕정지구 도시개발구역 2블록에 위치합니다.
- 지하 3층에서 지상 35층까지 9개 동으로, 총 1,163가구 중 975가구가 일반분양 대상입니다.
- 요즘 인기가 가장 높은 중·소형 평형 위주로, ▲70㎡A 572가구 ▲70㎡B 186가구 ▲70㎡C 121가구 ▲84㎡A 112가구 ▲84㎡B 86가구 ▲84㎡C 86가구로 구성되었습니다.
투자 포인트
1. 검증된 투자 가치
1차와 2차 분양 단지의 높은 청약 경쟁률과 1억 원 이상의 프리미엄 형성으로 투자 안정성을 이미 입증한 만큼, 3차 분양에 대한 수요도 높을 것으로 예상됩니다.
2. 우수한 교통 인프라
천안아산역을 통한 KTX 및 SRT 접근성, 지하철 1호선 탕정역 도보권 입지, 당진~청주고속도로(2023년 개통) 인접 등 편리한 교통망이 갖춰져 있어 출퇴근 및 이동이 편리합니다.
GTX-C 노선 아산 연장 계획으로 향후 교통 환경 개선과 더불어 지역 가치 상승이 예상됩니다.
3. 쾌적한 주거 환경과 인프라
곡교천과 다양한 공원, 녹지와 가까운 입지로 쾌적한 주거 환경이 조성됩니다.
모다아울렛, 갤러리아 백화점, 이마트 트레이더스 등 풍부한 편의시설과 신설 예정인 초·중학교(탕정8초교, 탕정4중)가 인접해 있어 생활 편의성과 교육 환경이 뛰어납니다.
4. 첨단 주거 설비와 스마트홈
전 가구에 스마트홈 서비스 ‘아이큐텍(AiQ TECH)’ 적용, 항균 황토덕트, UV-C LED 살균 조명 등 입주민 편의와 안전을 위한 첨단 설비가 설치됩니다.
전기차 충전기, 웰컴라이팅, 대기전력 차단 시스템 등 최신 에너지 효율 설비도 갖춰져 있어 실거주 및 임대 수요에 유리합니다.5. 마지막 ‘더샵’ 브랜드 타운 조성
이번 3차는 아산탕정지구에서 마지막으로 분양되는 '더샵' 단지로, 1차와 2차 단지와 함께 대규모 브랜드타운(총 3,517가구)이 형성되어 높은 주거 선호도를 이끌어낼 것입니다.청약 일정

청약 당일 혼선을 피하기 위해, 모바일 접수 시 반드시 앱과 인증서를 미리 깔아두시기 바랍니다!
일반분양과 특별공급


자세한 특공 대상 여부는 모집공고를 반드시 확인하셔야 합니다!
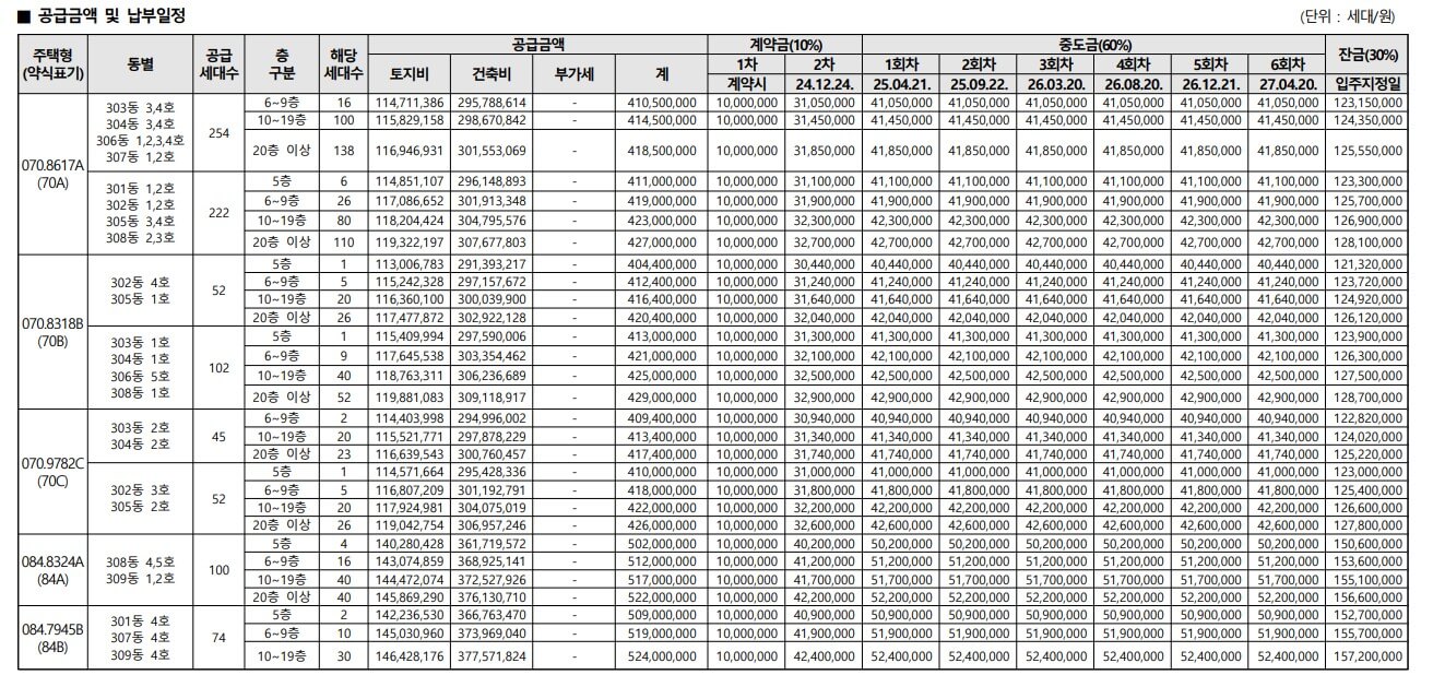
더샵 탕정 인피니티시티 3차 분양가
분양가는 공급금액 계를 확인하시면 됩니다.


중도금 이자

중도금 이자 후불제입니다.
발코니 확장비 및 기타 유상옵션

기타 유상옵션 품목과 가격은 모집공고를 확인하시면 됩니다.
주변 시세 확인하기


분양 자금 계획하기
청약에 들어가기 앞서, DSR 계산과 매달 나오는 원리금상환금액 계산도 꼭 하셔야 현명한 투자가 됩니다. 꼭 미리 해보시기 바랍니다!
같이 보면 좋은 글
더샵 탕정 인피니티 3차의 투자 포인트와 입지 등에 대해서 자세히 다룬 글입니다. 청약 전에 꼭 읽어보시고, 투자에 좋은 인사이트 얻어가시길 응원합니다!
더샵 탕정인피니티시티 3차 분양 정보, 입지 분석! 로또청약 도전!
더샵 탕정인피니티시티 3차 아파트가 곧 분양할 예정입니다. 더샵 탕정인피니티시티 3차 아파트는 이미 1차와 2차가 1억 이상의 프리미엄으로도 거래되면서 더샵 탕정인피니티시티 3차 역시 큰
info2.springprince.kr
'부동산 정보' 카테고리의 다른 글
검단신도시 푸르지오 더 파크 분양가 드디어 공개합니다! 분상제 로또인가?? (0) 2024.10.31 광명 유승한내들 라포레 드디어 분양가 공개! 평면도, 배치도, 분양정보 확인!(+투자 전망) (0) 2024.10.31 양주역 푸르지오 센터파크 평면도, 배치도 공개! (0) 2024.10.25 힐스테이트 평택역센트럴시티 분양가 드디어 공개!(+투자포인트, 단지배치도, 청약일정) (0) 2024.10.25 의왕고천지구 대방 디에트르 센트럴 분양가 확인하세요! 이자, 발코니확장비(+투자포인트) (0) 2024.10.25