-
마포 에피트 어바닉은 마포의 랜드마크 마래푸 인접단지로, 초초초역세권을 자랑하면서 공개 전부터 관심이 뜨거웠습니다. 마포 에피트 어바닉의 분양가와 분양 정보, 마포 에피트 어바닉 청약 일정 등에 대해서 정리해 보았습니다. 확인해보시고 마포 에피트 어바닉 투자에 좋은 결정 내리시길 응원합니다.

마포 에피트 어바닉 단지 소개
- 서울 마포구 아현동 617-1 에 공급하는 ‘마포 에피트 어바닉’은 애오개역 초역세권 단지입니다.
- 세대수 : 지하 5층~지상 24층, 2개 동 총 407세대
- 단지 배치 : 전용면적 34~46㎡ 아파트 198세대와 전용면적 42/59㎡ 오피스텔 209실
마포 에피트 어바닉 입지 분석
- 직주근접 : 마포는 이미 직주근접 대장 입지로 유명합니다. 마포의 특성상, 마포 업무지구는 물론, 여의도, 광화문, 시청, 종로, 강남 등 서울 주요 비즈니스 허브로 빠르게 이동할 수 있습니다.
- 초초초역세권 : 지하철 5호선 애오개역까지 도보 2분이면 도착할 수 있는 초역세권 입지를 자랑합니다. .
- 교육환경 : 도보 5분 거리에 아현초, 아현중, 서울소의초가 있고, 반경 1㎞ 이내에는 공덕초, 한서초 등 여러 초·중·고교가 밀집해 있어 자녀 교육에도 안성맞춤입니다. 연세대, 서강대, 이화여대 등 명문 대학도 가까워 학구열이 높은 분들에게 더없이 좋은 선택지입니다.
- 편리한 생활 인프라 : 이미 대단지인 마래푸 근처이므로 인프라가 이미 너무나 잘 갖추어져 있습니다. 이마트, 롯데마트, 현대백화점 같은 쇼핑시설은 물론, CGV와 메가박스 등 문화시설도 인근에 있습니다. 마포경찰서와 서울서부지방법원 같은 관공서와 대형 병원들까지 근처에 있어 일상의 편리함을 높여줍니다.

청약 일정

모바일과 PC, 현장접수 모두 가능하니 편한 방법으로 청약 신청하시면 됩니다. 단, 모바일 접수 시 인증서 등을 미리 준비해두시는 것이 좋습니다.
일반공급, 특별공급 세대수


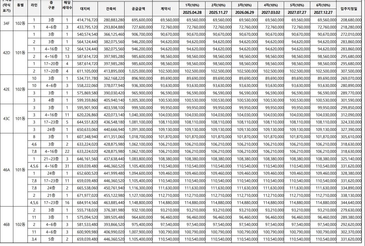
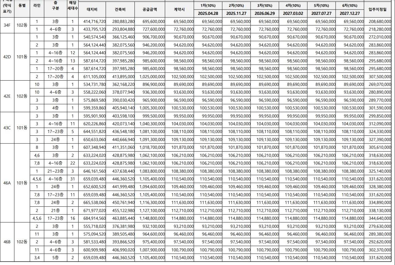
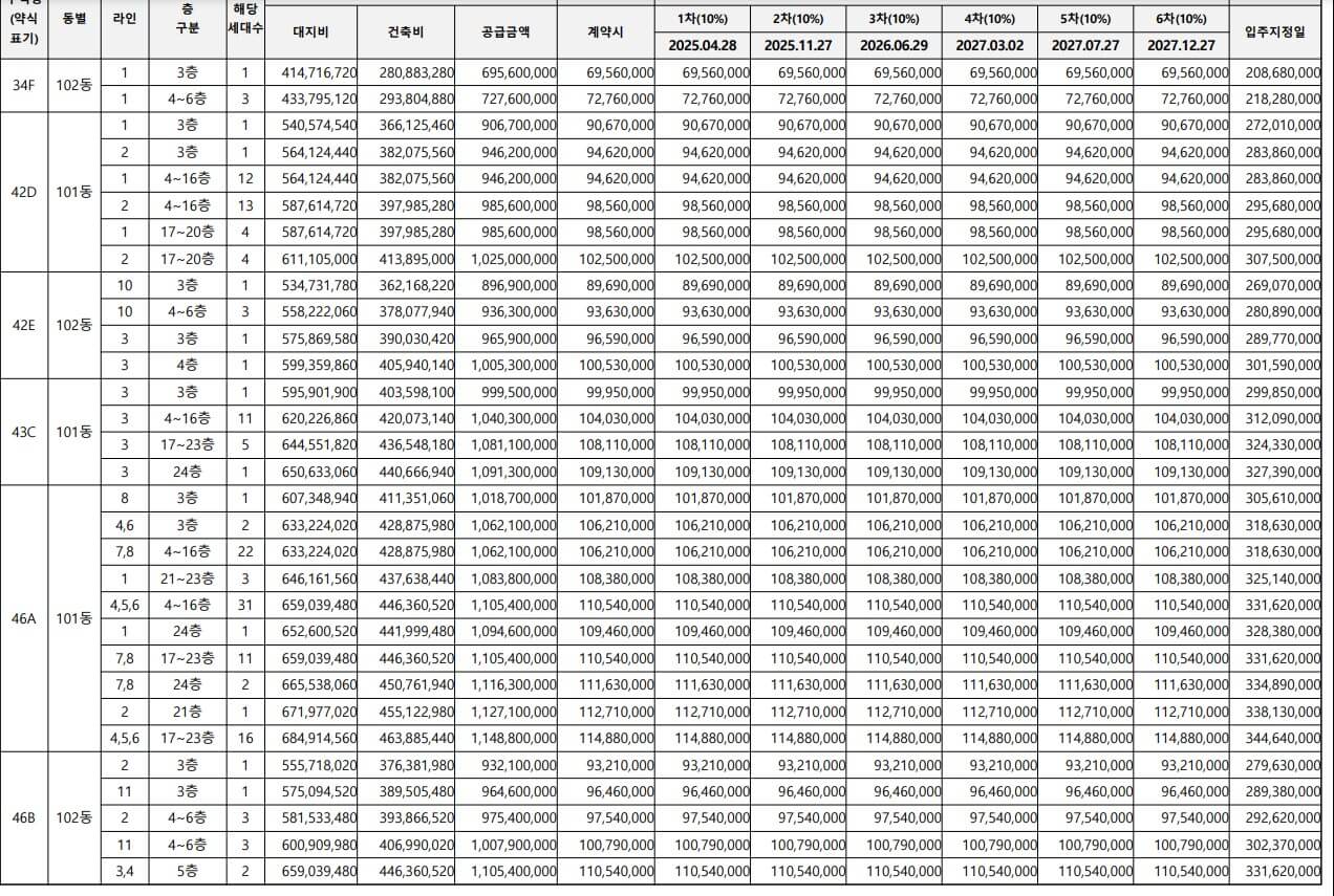
분양가

발코니 확장 포함 금액입니다!
중도금 이자

이자 후불제 조건입니다.
기타 유상옵션
기타 유상옵션은 모집공고문을 꼭 확인해보시기 바랍니다.
대출 준비하기
DSR 계산과 원리금 계산이 필요하시다면 청약 전에 미리 해보시고, 투자 준비를 철저하게 잘 해보시기를 추천드립니다.
함께 보면 좋은 글
마포 에피트 어바닉에 대해서 잘 소개한 기사가 있어서 소개해 봅니다. 함께 읽어보시면 투자에 도움이 되실 것입니다.
강소 아파트 ‘마포 에피트 어바닉’, 7일 특공...8일 1순위 청약 - 스트레이트뉴스
HL디앤아이한라가 서울 사통팔달의 교통 요충지인 마포 아현동에서 강소주택 ‘마포 에피트 어바닉’을 분양, 마포 불패 청약을 이어가기로 했다.서울 마포구 아현동 일대에 공급하는 ‘마포
www.straightnews.co.kr
청약하러가기



'부동산 정보' 카테고리의 다른 글
시티오씨엘 6단지 평면도, 배치도 공개!! (+투자 포인트) (0) 2024.09.30 명덕역 이편한세상 배치도, 평면도 공개! (0) 2024.09.28 사하 경남아너스빌 시그니처 분양가, 평면도, 배치도, 입지분석 (0) 2024.09.27 부천아테라자이 분양가 확정, 분양 정보, 입지 분석 (0) 2024.09.27 프레스티어자이 분양가 공개합니다! 청약 알짜정보 요약! (0) 2024.09.27