-
시티오씨엘 6단지 분양가가 드디어 공개되었습니다. 시티오씨엘 6단지 청약 일정과 시티오씨엘 6단지 분양 정보를 확인해보시고, 꼭 좋은 결과 얻어가시기를 응원하겠습니다.

시티오씨엘 6단지 청약일정


시티오씨엘 6단지 청약 신청은 반드시 '청약홈'에서 하셔야 합니다. 모바일로도 가능하다고 합니다. (단, '청약홈' 어플 설치 필수)
미리 청약홈앱과 인증서를 준비해두셔서 청약 당일 당황하시지 않기를 바랍니다.
특공 배정

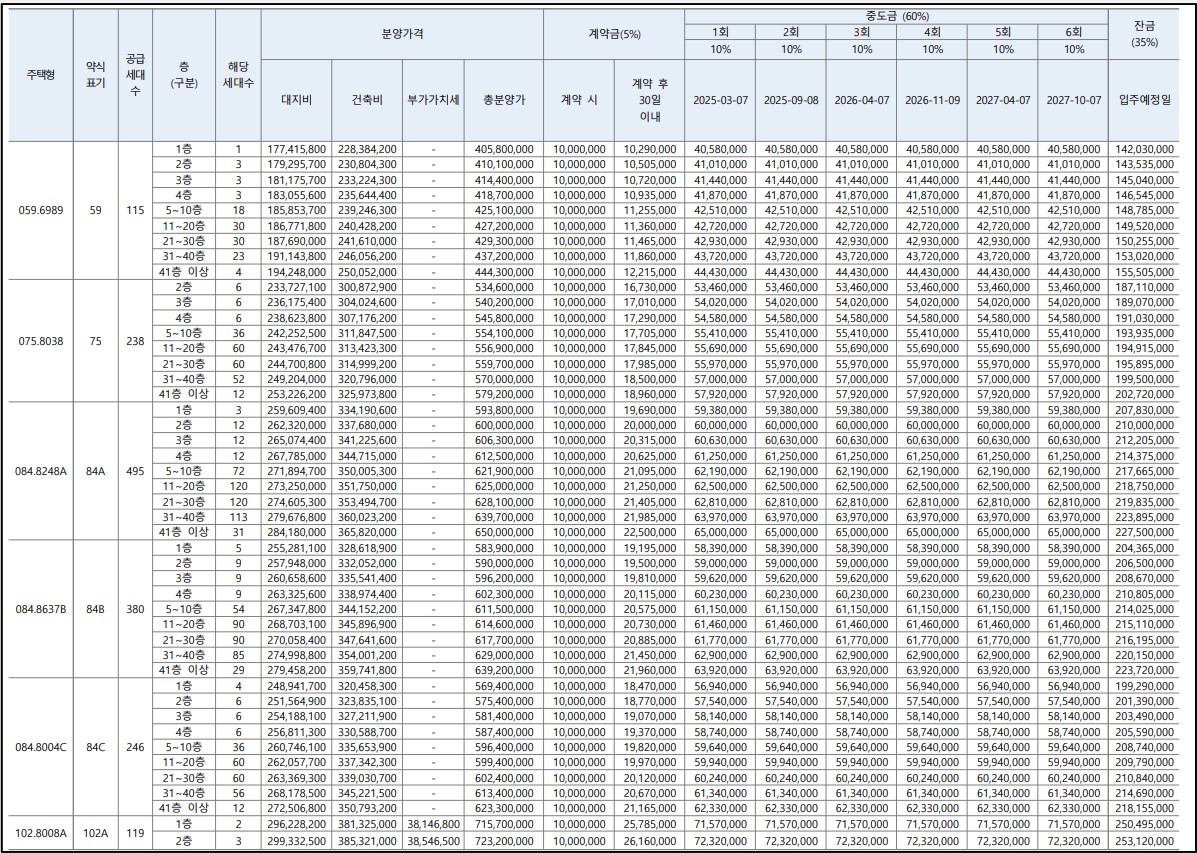
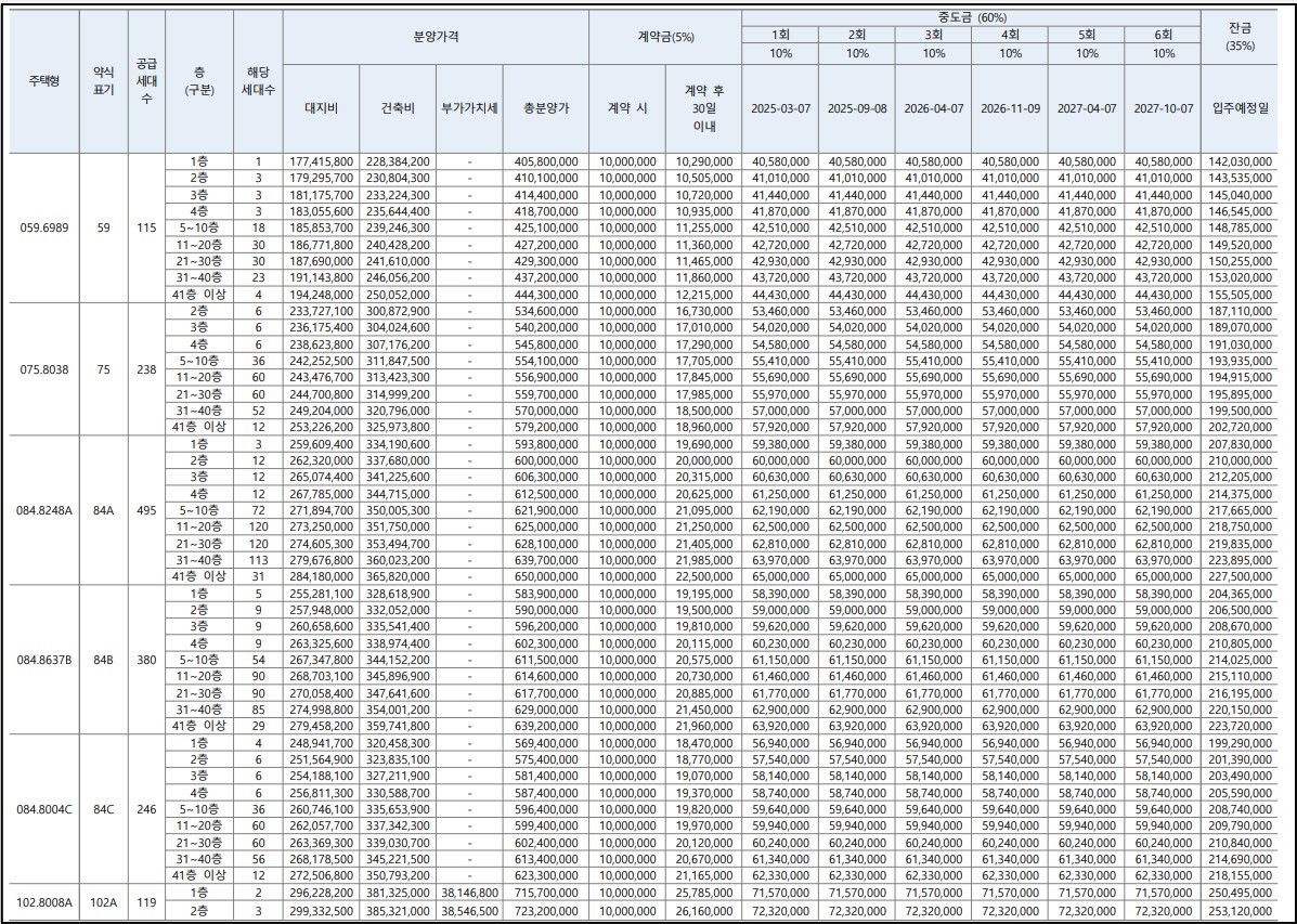
시티오씨엘 분양가


발코니 확장 금액

중도금 이자
“중도금 이자후불제” 조건으로 진행됩니다.
모집공고 확인하기
좀 더 자세히 청약 조건 등을 확인하시기 위해서 모집공고를 꼭 확인해보시기 바랍니다.
시티오씨엘 6단지 ( 2024-10-07 ~ 2024-10-10 ) : 모집공고 - 분양24
입주자모집공고 주요정보입주자모집공고 주요정보 시티오씨엘 6단지공급위치인천광역시 미추홀구 학익동 인천 용현·학익 1블록 도시개발구역 공동5BL공급규모1734세대입주자모집공고 관련 문
www.reby24.com
함께 보면 좋은글
시티오씨엘 6단지에 대해서 입지와 환경, 분양 정보에 대해서 자세하게 분석한 글입니다. 청약 전에 꼭 읽어보시고, 꼭 성공투자 하시길 응원합니다!
시티오씨엘 6단지 분양정보, 분양가, 투자 전망. 청약하기 전에 꼭 보고 가세요!!
시티오씨엘 6단지는 수인분당선 학익역의 초역세권 대단지로 주목받고 있습니다. 대단지의 매력이 가득한 시티오씨엘 6단지는 실거주, 투자용으로도 매우 관심을 받고 있습니다. 시티오씨엘 6
info2.springprince.kr
'부동산 정보' 카테고리의 다른 글
부천아테라자이 분양가 확정, 분양 정보, 입지 분석 (0) 2024.09.27 프레스티어자이 분양가 공개합니다! 청약 알짜정보 요약! (0) 2024.09.27 디에이치 대치 에델루이 분양가, 분양정보. 로또분양 꼭 확인하기! (0) 2024.09.26 광안센텀 비스타동원 분양가 공개, 분양 정보 (0) 2024.09.26 명덕역 이편한세상 분양가 드디어 확실히 공개!!! (0) 2024.09.26